ГДЗ (відповіді та розв'язання) до вправи №348 - 9. Додавання і віднімання многочленів - § 1. Алгебраїчні вирази. Рівняння з однією змінною |
← Повернутися до розділів |
| ← №347 | №348 | №349 → |
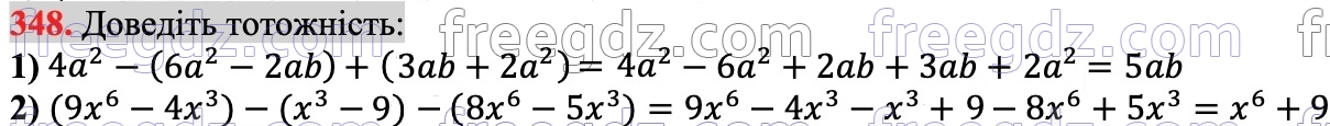
Розв'язок:
Розв'язок можна рухати пальцем вліво/вправо

ГДЗ (відповіді та розв'язання) до вправи №348 - 9. Додавання і віднімання многочленів - § 1. Алгебраїчні вирази. Рівняння з однією змінною |
← Повернутися до розділів |
| ← №347 | №348 | №349 → |
Розв'язок:
Розв'язок можна рухати пальцем вліво/вправо
