ГДЗ (відповіді та розв'язання) до вправи №171 - 5. Вирази зі мінними. Цілі вирази - § 2. ЦІЛІ ВИРАЗИ |
← Повернутися до розділів |
| ← №170 | №171 |
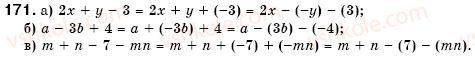
Розв'язок:
Розв'язок можна рухати пальцем вліво/вправо

ГДЗ (відповіді та розв'язання) до вправи №171 - 5. Вирази зі мінними. Цілі вирази - § 2. ЦІЛІ ВИРАЗИ |
← Повернутися до розділів |
| ← №170 | №171 |
Розв'язок:
Розв'язок можна рухати пальцем вліво/вправо
